Rpp Hidrokarbon Kurikulum 2013 Pdf

Jan 27, 2021

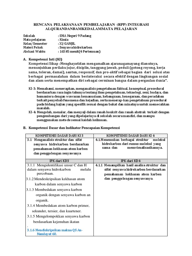
RPP Hidrokarbon Kurikulum 2013 RPP Hidrokarbon Kurikulum 2013 RPP Hidrokarbon Kimia XI Kurikulum 2013 RPP k13 hidrokarbon smk.doc RPP HIDROKARBON DOC) RPP KIMIA MATERI HIDROKARBON REVISI | Reska Dastri - Academia.edu RPP Hidrokarbon otak pintar: Download Rpp Kd 3.1 Senyawa Hidrokarbon K13 [.Docx] RPP Hidrokarbon Kimia XI Kurikulum 2013 RPP HIDROKARBON RPP Hidrokarbon Kurikulum 2013 RPP 3.9, 4.9, Hidro karbon.2x3jp DOC) RPP Kimia 11 Revisi 2017 | mifjan 1984 - Academia.edu KD 3.6 (Hidrokarbon).docx Rpp hidrokarbon & minyak bumi RPP Hidrokarbon Kurikulum 2013 DOC) RPP 1 Hidrokarbon & Minyak Bumi | Dahlia Iyak - Academia.edu RPP KTSP BAB 7 Hidrokarbon Kelas X RPP Kurikulum 2013 Revisi Mata Pelajaran Kimia Kelas XI SMA | Info Ops KIMIA XI RPP PERTEMUAN - [DOCX Document] RPP HIDROKARBON.docx - RENCANA PELAKSANAAN PEMBELAJARAN Sekolah SMA Negeri 9 Semarang Mata Pelajaran Kimia Kelas/Semester XI/1 Materi Pokok Senyawa | Course Hero RPP Hidrokarbon Kurikulum 2013 Rpp hidrokarbon & minyak bumi DOC) RPP Kimia | Dewi Deza - Academia.edu Contoh Soal Senyawa Hidrokarbon Dan Minyak Bumi - Dapatkan Contoh Rpp Hidrokarbon Kurikulum 2013 [ylyxr37drvnm] RPP KD 3.1 senyawa hidrokarbon.docx Ruang Belajar siswa kelas 2: Contoh Soal Hots Hidrokarbon LAPORAN PRAKTEK PENGALAMAN LAPANGAN SMA NEGERI 1 GODEAN KABUPATEN SLEMAN DIY - Lumbung Pustaka UNY Rpp kimia kelas xi RPP Kimia kurikulum 2013 kelas X & Xi Revisi 2018 Semester 1 dan 2 - Info Pendidikan Terbaru RPP HIDROKARBON.docx - RENCANA PELAKSANAAN PEMBELAJARAN Sekolah SMA Negeri 9 Semarang Mata Pelajaran Kimia Kelas/Semester XI/1 Materi Pokok Senyawa | Course Hero Soal Dan Pembahasan Hidrokarbon Dan Minyak Bumi – IlmuSosial.id Senyawa Hidrokarbon (materi kimia) - [PPTX Powerpoint] Rpp Minyak Bumi Kurikulum 2013 Rangkuman Materi Senyawa Hidrokarbon Kelas 11 - Guru Paud RPP 1 Lembar Kimia Kelas 11 SMA/MA Semester 1 - antapedia.com RPP KD 3.2 HIDROKARBON otak pintar: .Docx Rpp Kd 3.3 Kelas Xi Hidrokarbon K-13 Lengkap 1. SENYAWA HIDROKARBON DAN MINYAK BUMI.docx Download RPP Kimia Kelas 11 (XI) Revisi 2019 DOC PDF- Part 2 RPP HIDROKARBON.docx - RENCANA PELAKSANAAN PEMBELAJARAN Sekolah SMA Negeri 9 Semarang Mata Pelajaran Kimia Kelas/Semester XI/1 Materi Pokok Senyawa | Course Hero Top PDF atom karbon Kunci Jawaban 200 Soal Hidrokarbon – IlmuSosial.id Senyawa Hidrokarbon (materi kimia) - [PPTX Powerpoint] RPP Kimia kurikulum 2013 kelas X & Xi Revisi 2018 Semester 1 dan 2 - Info Pendidikan Terbaru Top PDF senyawa karbon RENCANA PELAKSANAAN PEMBELAJARAN (RPP) - PDF Download Gratis RPP Hidrokarbon Kurikulum 2013 RPP PERTEMUAN - [DOCX Document] Rpp kimia kelas xi Soal Dan Pembahasan Hidrokarbon Dan Minyak Bumi – IlmuSosial.id Bab. 1 Senyawa Hidrokarbon dan Minyak Bumi – Chemistry Learning~Natia Afriana Suri Ruang Belajar siswa kelas 2: Contoh Soal Hots Hidrokarbon Rpp Hidrokarbon Kurikulum 2013 [ylyxr37drvnm] Rpp bab 1 Cinta Ilmu kurikulum 2013 - [PDF Document] RPP Kimia Kelas XI Senyawa Hidrokarbon. Linda Windia Sundarti - PDF Download Gratis RPP Hidrokarbon Kimia XI Kurikulum 2013 - [PDF Document] PDF) Hidrokarbon dan Minyak Bumi | Garnis Astriyanti - Academia.edu Silabus KIMIA SMA/MA K13 Revisi Terbaru 2018/2019 - Dokumen Pengajaran Guru RPP Hidrokarbon Kurikulum 2013 rpp sri.docx - RENCANA PELAKSANAAN PEMBELAJARAN Satuan pendidikan SMA Mata Pelajaran KIMIA Kelas/semester XI/Ganjil Alokasi Waktu Materi Pokok 15 menit | Course Hero LAPORAN PRAKTEK PENGALAMAN LAPANGAN SMA NEGERI 1 GODEAN KABUPATEN SLEMAN DIY. Download RPP Kimia Kelas 11 (XI) Revisi 2019 DOC PDF- Part 2 PDF) KAJIAN PENERAPAN TEORI PEMBELAJARAN BERMAKNA AUSUBEL BERDASARKAN PERSPEKTIF ALKITABIAH PADA MATERI HIDROKARBON [A STUDY ON THE APPLICATION OF AUSUBEL’S MEANINGFUL LEARNING THEORY ON HYDROCARBON CHEMICAL LEARNING BASED ON A BIBLICAL PERSPECTIVE] Rpp Hidrokarbon Kurikulum 2013 [ylyxr37drvnm] Rpp hidrokarbon & minyak bumi Rangkuman Materi Hidrokarbon Dan Minyak Bumi - Guru Paud PDF) Penerapan Model Discovery Learning Melalui Game Gets Lucky Pada Materi Hidrokarbon dan Minyak Bumi Dalam Peningkatan Aktivitas dan Hasil Belajar Siswa Kelas XI MIPA 2 SMAN Unggul Aceh Timur PENGEMBANGAN MULTIMEDIA INTERAKTIF BERBASIS ANDROID PADA MATERI SENYAWA HIDROKARBON SEBAGAI MEDIA PEMBELAJARAN KIMIA SMA/MA KELA Contoh Soal Senyawa Hidrokarbon Dan Minyak Bumi - Dapatkan Contoh PENGEMBANGAN MULTIMEDIA INTERAKTIF BERBASIS ANDROID PADA MATERI SENYAWA HIDROKARBON SEBAGAI MEDIA PEMBELAJARAN KIMIA SMA/MA KELA RPP HIDROKARBON.docx - RENCANA PELAKSANAAN PEMBELAJARAN Sekolah SMA Negeri 9 Semarang Mata Pelajaran Kimia Kelas/Semester XI/1 Materi Pokok Senyawa | Course Hero RPP Kimia SMA-MA Kurikulum 2013 - INFORMASIGURU.COM RPP Hidrokarbon Kurikulum 2013 kimia K-13 HIDROKARBON II K e l a s A. Alkena Tujuan Pembelajaran - PDF Free Download PDF) Penerapan TGT-Chempuzzle pada pembelajaran hidrokarbon untuk meningkatkan prestasi belajar kimia peserta didik Top PDF Rpp Kimia Kurikulum 2013 PDF) RPP K13 Revisi 2016 KD 3.5 IKATAN KIMIA Untuk SMA Kelas XI (Ikatan ion, ikatan kovalen, ikatan kovalen koordinasi, ikatan logam) | Febrina Santa Theresia Siregar - Academia.edu Ruang Belajar siswa kelas 2: Contoh Soal Hots Hidrokarbon Contoh Soal Kimia Minyak Bumi - Dunia Sosial Rpp hidrokarbon & minyak bumi Buku Paket Kimia Kelas 11 Kurikulum 2013 Revisi 2017 – IlmuSosial.id Rpp Hidrokarbon by Ilhaniatul Aini,S.Pd SMKN 1 Lembar PENGEMBANGAN MULTIMEDIA INTERAKTIF BERBASIS ANDROID PADA MATERI SENYAWA HIDROKARBON SEBAGAI MEDIA PEMBELAJARAN KIMIA SMA/MA KELA DOC) RPP KIMIA MATERI HIDROKARBON REVISI | Reska Dastri - Academia.edu Ruang Belajar siswa kelas 2: Contoh Soal Hots Hidrokarbon Rpp 1 Lembar Hidrokarbon - Silabus Rpp Rpp Kimia Farmasi Kurikulum 2013 Revisi 2018 [3no07kjk73nd] Kd Kimia Kelas Xi Semester 1 Kurikulum 2013 - Guru Paud SCHEMA | Kelas 10 Kurikulum 2013 - Kimia…Kelas 10 SMA Kurikulum 2013 – Kimia Semester 2 Standardized - [PDF Document] UKBM A. IDENTITAS UKBM - PDF Free Download Download Rpp Mata Pelajaran Kimia Smk Kelas X Kurikulum 2013 Revisi 2017 / 2018 Semester 1 dan 2 | Rpp 1 Lembar - Download Rpp Smk Kurikulum 2013 Revisi 2017/2018/2019/2020 Semua Postingan - Guru Ilmu Sosial LAPORAN PRAKTEK PENGALAMAN LAPANGAN SMA NEGERI 1 GODEAN KABUPATEN SLEMAN DIY - Lumbung Pustaka UNY Rpp hidrokarbon & minyak bumi 1 2 hidrokarbon alkana alkuna alkena PDF) ANALISIS MODEL MENTAL SISWA DALAM PENGGUNAAN UNIT KEGIATAN BELAJAR MANDIRI TENTANG HIDROKARBON RPP_Kimia_SMA_2_Unggul.docx - RENCANA PELAKSANAAN PEMBELAJARAN(RPP SEKOLAH MATA PELAJARAN KELAS SEMESTER MATERI POKOK ALOKASI WAKTU KIMIA XI(SEBELAS | Course Hero

Keyboard Hanacaraka

Update Transfer Pemain Pes 2013 Terbaru