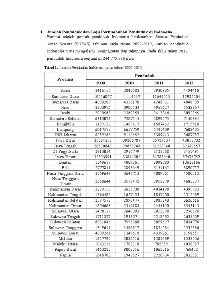
Menghitung Laju Pertumbuhan Penduduk

Jan 28, 2021

Laju Pertumbuhan Penduduk Geometrik Laju Pertumbuhan Penduduk | Mohnurdin’s Blog Adapun Rumus Laju Pertumbuhan Penduduk Sistem Informasi Rujukan Statistik - View Indikator Proyeksi Penduduk | Guru Geografi MAN 1 Gunungkidul DIY Prolog Materi - Pertumbuhan Penduduk | Zenius Education Just Share: Proyeksi Penduduk dengan Metode Matematik Cara Mengukur Laju Pertumbuhan Ekonomi Suatu Negara Laju Pertumbuhan Penduduk Eksponensial Proyeksi Penduduk | Guru Geografi MAN 1 Gunungkidul DIY Beberapa ukuran dasar demografi Menghitung Pertumbuhan Ekonomi Rumus-rumus perhitungan proyeksi jumlah penduduk: a. Metoda Arithmatik Pn Po + Ka (Tn – To) dimana: Pn = jumlah penduduk pad Pertumbuhan Penduduk Alami Sosial Geometri dan Eksponensial | Geografisku Download cara-menghitug-pertumbuhan-penduduk 2 Menghitung Laju Pertumbuhan di Excel - YouTube PROYEKSI PENDUDUK. - ppt download Cara Menghitung Pertumbuhan Penduduk Menggunakan Excel 2007 Lutfi Agus Salim, SKM, M.Si - ppt download Cara menghitung prediksi pertumbuhan penduduk - YouTube Junaidi Fakultas Ekonomi dan Bisnis Universitas Jambi - ppt download √ Pengertian Pertumbuhan Penduduk & Faktor Penyebab Terjadi nya Cara Menghitung Laju Pertumbuhan Ekonomi Beberapa ukuran dasar demografi Cara Menghitung Pertumbuhan Penduduk Menggunakan Excel 2007 - [PDF Document] Ukuran laju penduduk dinamis Cara Menghitung Pertumbuhan Penduduk | SimulasiKredit.com Ukuran laju penduduk dinamis Menghitung Populasi dengan Integral Cara Menghitung Pertumbuhan Penduduk Menggunakan Excel 2007 - [PDF Document] √ Cara Mengukur Laju Pertumbuhan Ekonomi Suatu Negara Adapun Rumus Laju Pertumbuhan Penduduk Prediksi Jumlah Penduduk Desa Melung 2020 | DESA MELUNG Cara Mengukur Laju Pertumbuhan Ekonomi Suatu Negara Pertumbuhan Penduduk - Teori, Faktor, Alami, Total, Dampak TehTarik: Pertumbuhan Penduduk di Bekasi laju pertumbuhan penduduk PROYEKSI JUMLAH PENDUDUK DKI JAKARTA PERIODE 2018-2035 - Unit Pengelola Statistik Pertumbuhan Penduduk - Teori, Faktor, Alami, Total, Dampak Rumus Proyeksi Penduduk Geometrik Dan Aritmetika / Fungsinya rENAG o ri[Htlto* r*t” * r, Khazanah arsip halaman 6 dari BAB III. Kuantitas Penduduk. Laju Pertumbuhan Penduduk. - SIKEDA - JIKEDA Pemerintah Kota Bukittinggi Download cara-menghitug-pertumbuhan-penduduk 2 minta tolong ya buat yang paham sama caranya juga - Brainly.co.id Nur Widya Rahma: 2.1 Laju Pertumbuhan Penduduk Khazanah arsip halaman 8 dari BAB III, Kuantitas Penduduk, Rumus menghitung jumlah Penduduk. - SIKEDA - JIKEDA Pemerintah Kota Bukittinggi Proyeksi Laju Pertumbuhan Penduduk Di Indonesia Tahun 2010 √ Cara Mengukur Laju Pertumbuhan Ekonomi Suatu Negara tolong bantuannya teman teman - Brainly.co.id Rumus Pertumbuhan Penduduk (Alami, Migrasi, Total) - Berpendidikan.Com Proyeksi penduduk Pertumbuhan Penduduk Alami Sosial Geometri dan Eksponensial | Geografisku tolong dijawab plisstolong dijawab semuanya yh - Brainly.co.id Cara Menghitung Laju Pertumbuhan Ekonomi Perhitungan Laju Pertumbuhan Geometri Sekilas tentang Pembantaian Massal Indonesia tahun 1965 lewat kacamata sensus: migrasi dan pengungsi di Jawa Timur - Tribunal 1965 Proyeksi Penduduk | Guru Geografi MAN 1 Gunungkidul DIY Data dan analisa statistik di kabupaten kendal: Laju Pertumbuhan Penduduk di kabupaten kendal Melihat TFR Indonesia dalam Konteks Global – BKKBN | NTB Model Prediksi Kebutuhan Air Bersih Berdasarkan Jumlah Penduduk di Kawasan Perkotaan Sentul City Dinas Kependudukan dan Pencatatan Sipil | DKI Jakarta Download cara-menghitug-pertumbuhan-penduduk 2 rENAG o ri[Htlto* r*t” * r, Laju Pertumbuhan Penduduk Eksponensial | PERPUSTAKAAN UMUM DINAMIKA DAN MASALAH KEPENDUDUKAN (1) Simulasi dan Pemodelan Pertumbuhan Penduduk | rizky novriandri’s™ Ukuran laju penduduk dinamis Pertumbuhan Penduduk : Pengertian, Faktor, Jenis, Rumus & Contoh Khazanah arsip halaman 6 dari BAB III. Grafik 1 : Laju Pertumbuhan Penduduk - SIKEDA - JIKEDA Pemerintah Kota Bukittinggi pertumbuhan populasi Model Simulasi Menghitung Prediksi Jumlah Penduduk Indonesia Berdasarkan Laju Pertumbuhan Penduduk dengan Javascript | In My Idea PERTUMBUHAN EKONOMI: PENGERTIAN DAN RUMUS PERTUMBUHAN EKONOMI - Ilmu Ekonomi ID Cara Menghitung Laju Pertumbuhan Ekonomi Khazanah arsip halaman 9 dari BAB III, sambungan dari topik Laju pertumbuhan Penduduk. - SIKEDA - JIKEDA Pemerintah Kota Bukittinggi AWALIL RIZKY’S BLOG: MEMAHAMI DATA PERTUMBUHAN EKONOMI INDONESIA (bagian dua) Cara Menghitung Pertumbuhan Ekonomi Secara Sederhana Melalui Rumus dan Kualitatif - DosenEkonomi.com Proyeksi penduduk Lutfi Agus Salim, SKM, M.Si - ppt download DOC) MENGHITUNG PROYEKSI POPULASI | fajar phitra - Academia.edu Cara Menghitung Proyeksi Penduduk | Pengadaan (Eprocurement) Perhitungan Laju Pertumbuhan Penduduk Di Kecamatan Padang Barat Kotamadya Padang Dengan Menggunakan Persamaan Differensial. 2.6. Proyeksi Kilas Balik (Backcasting) Selain proyeksi ke depan Apa Itu Pertumbuhan Ekonomi dan Teori-Teori Pendukungnya DOC) Proyeksi Jumlah Penduduk di Pulau Jawa | Nurul Fitri - Academia.edu Pengaruh Laju Pertumbuhan Penduduk terhadap Ketahanan Pangan Bangsa Halaman all - Kompasiana.com Laju pertumbuhan penduduk Indonesia - Lokadata Struktur, Tingkat Laju Pertumbuhan Penduduk serta Usaha dan Upaya Untuk Mengatasi Dampak atau Akibat dari Ledakan Penduduk Indonesia - materiedukasi.com Tuti Safitri: Laju Pertumbuhan Penduduk Proyeksi Penduduk | Guru Geografi MAN 1 Gunungkidul DIY Cara Menghitung Pendapatan Per Kapita Yang Benar Jika penduduk bogor tahun 2018 sebanyak 1.658.500 jiwa dengan tingkat pertumbuhan penduduk 2% per - Brainly.co.id Cara Menghitung Rasio Pertumbuhan: 7 Langkah (dengan Gambar) Perhitungan Jumlah Penduduk - PDF Download Gratis Cara Menghitung Pertumbuhan Penduduk Menggunakan Excel 2007 Tren Pertumbuhan Penduduk Menurun - Peristiwa - koran.tempo.co Ppt Aplikasi Logaritma dalam kehidupan sehari-hari Junaidi Fakultas Ekonomi dan Bisnis Universitas Jambi - ppt download Tolong bantu jawab ya, dan tolong kasih caranya ya? - Brainly.co.id Makalah Laju Pertumbuhan Penduduk Geometris Proyeksi Penduduk - Portal Statistik

Microsoft Excel Pdf

Contoh Teks Anekdot Lucu Singkat