Frekuensi Anguler

Jan 28, 2021

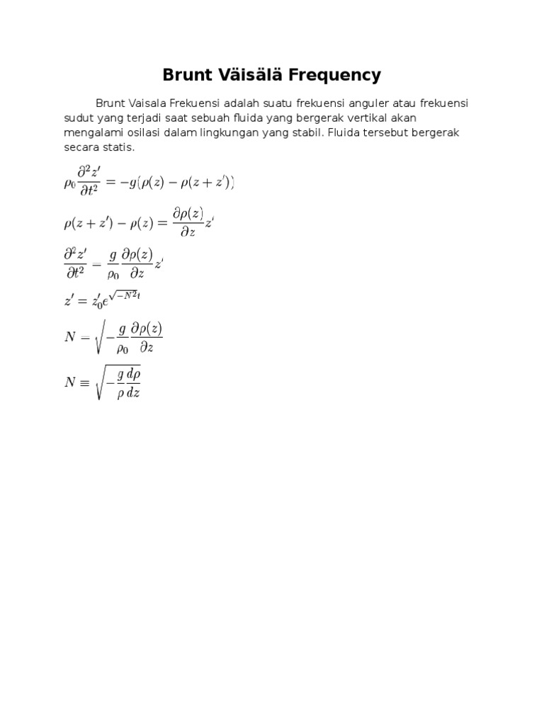
Fungsi Gelombang y(x,t) = Asin(kx-wt) w: frekuensi angular - ppt download Fungsi Gelombang y(x,t) = Asin(kx-wt) w: frekuensi angular - ppt download Fungsi Gelombang y(x,t) = Asin(kx-wt) w: frekuensi angular - ppt download Indonesia Bisa !!!: Sumber Tegangan Listrik Arus Bolak-Balik Dan Tanggapan Resistor Pada Arus Listrik Bolak-Balik Sebuah sumber tegangan AC dengan tegangan 100 vilt dan frekuensi angular 50 rad/sekon dihubungkan - Brainly.co.id Rangkaian Arus bolak balik LISTRIK BOLAK-BALIK ALTERNATING CURRENT (AC) - ppt download DOC) Soal Fisika 5 Soal | onoy kuh - Academia.edu Contoh Soal Dan Jawaban Frekuensi Anguler Arus Bolak Balik – IlmuSosial.id Fungsi Gelombang y(x,t) = Asin(kx-wt) w: frekuensi angular - ppt download Fisika - Gerak melingkar sederhana Gambar 1. Grafik amplitudo tanggap í µí°´(í µí¼”) sebagai fungsi… | Download Scientific Diagram PRINSIP-PRINSIP GEJALA GELOMBANG - ppt download Soal Fisika 5 Soal Perbandingan Kecepatan Anguler 2 Roda Bersinggungan Gerigi Frekuensi Gerak Melingkar Beraturan GMB - YouTube ARSIP SOAL - .Ebtanas /Fisika/Tahun 1994 … Jika frekuensi anguler sumber tegangan 2000 rad/s, maka - [PDF Document] Brunt Vais a La Frequency Gerak melingkar benda titik Contoh Soal Dan Jawaban Frekuensi Anguler Arus Bolak Balik – IlmuSosial.id Contoh Soal Perhitungan Rumus Kecepatan Linear dan Kecepatan Sudut Anguler | ardra.biz Listrik Arus Bolak balik (AC) | Belajar dengan Eksperimen rangkaian R-L-C seri dihubungkan dengan sumber tegangan arus bolak balik yang memiliki frekuensi - Brainly.co.id Contoh Soal Dan Jawaban Frekuensi Anguler Arus Bolak Balik – IlmuSosial.id Catatan Teori Fisika Dasar: Soal Arus Bolak-balik Perbandingan Kecepatan Anguler 2 Roda Bersinggungan Gerigi Frekuensi Gerak Melingkar Beraturan GMB - YouTube Cara Menghitung Kecepatan Sudut dan Kecepatan Linear Benda yang Bergerak Melingkar - Ukuran Dan Satuan Listrik Arus Bolak balik (AC) | Belajar dengan Eksperimen rangkaian RLC seri terhubung arus AC memiliki frekuensi angular 2.500 rad/s. jika R = 600 ohm, L = - Brainly.co.id Gerak melingkar benda titik Contoh Soal Perhitungan Rumus Kecepatan Linear dan Kecepatan Sudut Anguler | ardra.biz Definisi dan Rumus Kecepatan Sudut (Anguler) Gerak Melingkar Beserta Contoh Soal dan Pembahasannya | FISIKABC 1. Rangkaian seri RC dihubungkan dengansumber tegangan arus AC sebesar 100V dan frekuensi anguler - Brainly.co.id Fisika kresna 01 bandicam 2021 01 27 06 11 48 314 - YouTube Meteorologi Dinamis - Kuliah 13b komponen dan rangkaian ac 8 μF. Jika rangkaian dihubungkan dengan sumber tegangan AC =500/ Contoh Soal Perhitungan Rumus Kecepatan Linear dan Kecepatan Sudut Anguler | ardra.biz Frekuensi sudut - Wikipedia bahasa Indonesia, ensiklopedia bebas Soal dan Pembahasan Arus Listrik Bolak-Balik (AC) Bagian 2 | FISIKA MANTAB Contoh Soal Tegangan Dan Arus Bolak Balik Ac - Cute766 Tugas PET 7 ARSIP SOAL - .Ebtanas /Fisika/Tahun 1994 … Jika frekuensi anguler sumber tegangan 2000 rad/s, maka - [PDF Document] Sebuah sumber tegangan bolak—balik mempunyai frekuensi anguler 100 rad/s dan tegangan 200 V - Brainly.co.id Listrik Arus Bolak balik (AC) | Belajar dengan Eksperimen Cepat Rambat Gelombang Pada Tali: Masalah Dan Tujuan Percobaan Contoh Soal Perhitungan Rumus Kecepatan Linear dan Kecepatan Sudut Anguler | ardra.biz Amperemeter digunakan untuk mengukur arus pada rangkaian Bab 5. Komponen Dan Rangkaian AC Contoh Soal Perhitungan Rumus Kecepatan Linear dan Kecepatan Sudut Anguler | ardra.biz Contoh Soal Dan Jawaban Frekuensi Anguler Arus Bolak Balik – IlmuSosial.id 1994k hambatan 150 ohm, kumparan 0,6 H dan kapasitor 8 miuF dirangkaikan secara seri kemudian dihubungkan - Brainly.co.id PPT - FISIKA PowerPoint Presentation, free download - ID:4284982 PROGRAM MAGISTER PENDIDIKAN FISIKA UNIVERSITAS AHMAD DAHLAN - ppt download Contoh Soal Perhitungan Rumus Kecepatan Linear dan Kecepatan Sudut Anguler | ardra.biz Soal dan Pembahasan Arus Listrik Bolak-Balik (AC) Bagian 2 | FISIKA MANTAB 8 R P Q v 32 Sebuah rangkaian RLC seri dengan R 400 L 1 H C 10 F dihubungkan | Course Hero ARSIP SOAL - .Ebtanas /Fisika/Tahun 1994 … Jika frekuensi anguler sumber tegangan 2000 rad/s, maka - [PDF Document] Contoh Soal Dan Jawaban Frekuensi Anguler Arus Bolak Balik – IlmuSosial.id Bantu jawab yaa. jika frekuensi anguler sumber tegangan 2000 rad/s maka impedensi rangkain - Brainly.co.id Konstanta Pegas Contoh Soal Perhitungan Rumus Kecepatan Linear dan Kecepatan Sudut Anguler | ardra.biz SMK PERGURUAN CIKINI ARUS DAN TEGANGAN BOLAK Rangkaian Arus bolak balik Contoh Soal Perhitungan Rumus Kecepatan Linear dan Kecepatan Sudut Anguler | ardra.biz 2. Osilator Harmonik - Staff Official Site .2. Osilator Harmonik Pada mekanika klasik, salah satu - [PDF Document] Contoh Soal Dan Jawaban Frekuensi Anguler Arus Bolak Balik – IlmuSosial.id Maju rangkaian-arus-bolak-balik-fix-binggo Kumpulan Rumus Gerak Melingkar Beraturan (GMB) | idschool D. Hubungan Kecepatan Linear dengan Kecepatan Anguler: V = 2∏R/2 dan ω = 2∏/ Bahan ajar pegas rangkaian seri resistor 200 ohm, induktor 0,8 H dan kapasitor 8 mikrofarad dipasang pada tegangan - Brainly.co.id Contoh Soal Dan Jawaban Frekuensi Anguler Arus Bolak Balik – IlmuSosial.id STAF PENGAJAR FISIKA DEP. FISIKA IPB - ppt download Suatu rangkaian AC yang memiliki tegangan maksimum 110 v dihubungkan dengan hambatan 50. Jika - Brainly.co.id Pegas Pada suatu saat kelajuan anguler pada sebuah keping CD yang berjari-jari 6 cm adalah 31,4 rad/s. a. - Brainly.co.id Rangkaian arus bolak balik & daya arus bolak balik - ppt download Contoh Soal Perhitungan Rumus Kecepatan Linear dan Kecepatan Sudut Anguler | ardra.biz Contoh Soal Dan Jawaban Frekuensi Anguler Arus Bolak Balik – IlmuSosial.id sebuah benda bergetar harmonis dengan amplitudo 8cm dan kecepatan anguler 3 rad/s. besar percepatan - Brainly.co.id Rangkaian Arus bolak balik Latihan Soal Fisika AC Kelas XII sebuah gerinda melakukan 360 putaran tiap menit. jika gerinda memiliki jari2 10 cm, percepatan - Brainly.co.id BAB IV GERAK MELINGKAR BERATURAN ? · Pada suatu saat kelajuan anguler sebuah keping CD yang berdiameter 12 cm adalah 314 rad/s. a. Berapa frekuensi dan periodenya? b PPT - Menentukan Nilai Konstanta Pegas PowerPoint Presentation, free download - ID:221443 Makalah fisika terapan Soal Fisika 5 Soal Hubungan Percepatan Sentripetal dengan Kecepatan Sudut, Periode, atau Frekuensi SOAL GMB 1 listrik bolak-balik alternating current (ac) Physics AR Education for Android - APK Download Gerak Melingkar Beraturan Beserta Contohnya | Siswapedia Gerak melingkar bab9.doc - 9 Filter Gelombang Mikro Tujuan Pembelajaran Umum Membahas dan merancang filter HF dan gel Mikro Tujuan Pembelajaran Khusus Menjelaskan dan | Course Hero Gambar 1. Grafik amplitudo tanggap í µí°´(í µí¼”) sebagai fungsi… | Download Scientific Diagram 21. Frekuensi Angular Dan Simpangan Osilasi Partikel_solusi Materi dan Latihan Soal-soal Gerak Melingkar - FISIKA CERIA PPT - FISIKA PowerPoint Presentation, free download - ID:4284982

Tes Karakteristik

Arti Dekonsentrasi