Contoh Soal Pps

Jan 27, 2021

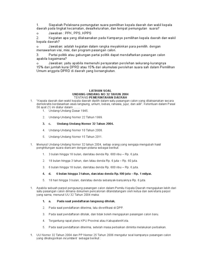
Materi tes tertulis dan wawancara ppk Tes Tulis PPS 4 Maret, Simak Kisi-Kisi Soal Tugas & Wewenang … Materi tes tertulis dan wawancara ppk Kisi Kisi Soal Tes Tulis PPK Jawablah Soal Berikut Dengan Satu Jawaban Yang Paling Benar KPU Kabupaten Pandeglang Buka Seleksi Anggota PPS, Ini Waktu … PENGUMUMAN TENTANG PANITIA PEMILIHAN KECAMATAN (PPK) DAN PANITIA … Contoh-Contoh Soal Tes Calon Anggota KPU, PPK, PPS, PPLN … Pengumuman !!! Pendaftaran PPS 2020 Di Perpanjang !! - KPU … Materi tes tertulis dan wawancara ppk Peserta Tes Tertulis Calon PPS Perhatikan Beberapa Hal Ini … Soal Ujian Ppk 2018 Materi tes tertulis dan wawancara ppk Hasil Tes Wawancara Calon Anggota Panitia Pemungutan Suara (PPS … Contoh Soal Tes Tertulis Ppk Dan Pps - Contoh Soal Terbaru Top Soal Tes Ppk Pdf PENGUMUMAN TENTANG PANITIA PEMILIHAN KECAMATAN (PPK) DAN PANITIA … 50 CONTOH SOAL TES TERTULIS PPS 2020 - YouTube Pengumuman Seleksi Calon Anggota Panitia Pemungutan Suara (PPS … Di Buka !! Pendaftaran Panitia Pemungutan Suara (PPS) 2020 - KPU … Contoh Soal Tes Tertulis Ppk Dan Pps - Contoh Soal Terbaru Kisi Kisi Soal Tes Tulis PPK Pengumuman KPU Kab. Blora tentang Seleksi Calon Anggota PPS untuk … Contoh Soal Tes Tulis Kpps 2018 - Contoh Soal Terbaru Contoh Template Soal Ujian Akhir Semester PPs UNY | Program … MATERI UJIAN TES TULIS DAN INTERVIEW seleksi PPK,PPS dan KPPS 2020 … Contoh soal tes PPS.docx Ralat Pengumuman Hasil Seleksi Administrasi PPS 2020 - KPU … Bocoran Soal Tes Tertulis PPS 2020 Pdf - YouTube Inilah Kisi Kisi Tes Kpps FORMULIR TANGGAPAN MASYARAKAT TERHADAP CALON PPS PILKADA MADINA … Pengumuman Hasil Seleksi Administrasi Calon Panitia Pemungutan … Calon Anggota PPK Jatiwaras yang Lolos Administrasi | PPK KEC … PENGUMUMAN PENDAFTARAN CALON ANGGOTA PPK DAN PPS – KPU Kabupaten Dompu Penerimaan Mahasiswa Baru PPs UNRAM T.A 2018/2019 – Pascasarjana Unram Penerimaan Mahasiswa Baru PPs UNRAM T.A 2018/2019 – Pascasarjana Unram Cth soal tes anggota pps Prediksi Soal Tes Tertulis Seleksi PPS Untuk PILKADA 2018 Seleksi Calon Anggota Panitia Pemunggutan Suara ( PPS ) Pemilihan … PENGUMUMAN SELEKSI CALON ANGGOTA PPS PILBUP PACITAN TAHUN 2020 … Contoh Daftar Riwayat Hidup Calon Anggota Kpps – Contoh.Lif.co.id Pertanyaan Seputar Pemilu 2019 dan Jawabannya - JEO Kompas.com PENGUMUMAN SELEKSI CALON ANGGOTA PPS PEMILIHAN BUPATI DAN WAKIL … Pengumuman Tentang Seleksi Calon Anggota Panitia Pemungutan Suara … PROBABILITY PROPORTIONAL TO SIZE (PPS) SAMPLING - ppt download Prediksi Soal Tes Tulis dan Wawancara Calon Anggota PPK dan … PENGUMUMAN SELEKSI CALON ANGGOTA PPS PILBUP PACITAN TAHUN 2020 … Website Komisi Pemilihan Umum Kabupaten Kebumen Pengumuman Tentang Seleksi Calon Anggota Panitia Pemungutan Suara … Top Soal Tes Ppk Pdf 25 SOAL (LAGI) TES TERTULIS PPS 2020 - YouTube PROBABILITY PROPORTIONAL TO SIZE (PPS) SAMPLING - ppt download √ √ Surat Edaran tentang Pakta Integritas Anggota PPK, PPS, KPPS … contoh pertanyaan tes wawancara ppk - Teknoid 20 SOAL (LAGI) TES TERTULIS PPS 2020 - YouTube Contoh Soal Tes Psikotes Bank Bri - kittyskyey Contoh Surat Pengunduran Diri Dari Pps - Contoh Seputar Surat Prediksi Soal Tes Tulis dan Wawancara Calon Anggota PPK dan Soal … Download Format Formulir Pendaftaran dan Format Surat Pernyataan … Website Komisi Pemilihan Umum Kabupaten Kebumen Materi tes wawancara seleksi PPS PROBABILITY PROPORTIONAL TO SIZE (PPS) SAMPLING - ppt download PDF) Contoh Soal Psikotes | Bosche Nero - Academia.edu Contoh Soal Tes Tertulis Ppk Dan Pps - Contoh Soal Terbaru PENGUMUMAN SELEKSI CALON ANGGOTA PPS PEMILIHAN BUPATI DAN WAKIL … Kisi Kisi Ujian Wawancara Pps 2020 – IlmuSosial.id Download Format Formulir Pendaftaran dan Format Surat Pernyataan … PENGUMUMAN SELEKSI CALON ANGGOTA PPS PILBUP PACITAN TAHUN 2020 … Website Komisi Pemilihan Umum Kabupaten Kebumen Prediksi Soal Tes Tulis Dan Wawancara Calon Anggota Ppk Dan … PDF) KEMAMPUAN KOMUNIKASI MATEMATIKA SISWA DALAM PEMBELAJARAN … Standar 1 - PPS Pendidikan Biologi Top Soal Tes Ppk Pdf TERBARU 2017 SOAL TES TULIS PPK DAN PPS LENGKAP - YouTube KPU Lombok Tengah FORMULIR TANGGAPAN MASYARAKAT TERHADAP CALON PPS PILKADA MADINA … PROBABILITY PROPORTIONAL TO SIZE (PPS) SAMPLING - ppt download Jadwal Tes Wawancara calon anggota PPS 2020 - KPU Kabupaten Kediri ANALISIS KEMAMPUAN REPRESENTASI MAHASISWA PENDIDIKAN SAINS PPS UNS … PDF) ANALISIS PEMAHAMAN MAHASISWA PPS UNM BERPANDU TEORI PIRIE … Dokumen C1 Pemilu bisa dipublikasikan mulai tingkat TPS hingga KPU … PENGUMUMAN PERPANJANGAN PENERIMAAN PENDAFTARAN CALON ANGGOTA PPS … absen peserta dan pemateri … Contoh Soal Ujian, Survey Kepuasan … √ √ Daftar Calon PPS yang Lulus Administrasi dan Bisa Ikut Tes … CONTOH SOAL DAN PEMBAHASAN - ppt download Contoh soal-psikotes Contoh Soal Tes Tertulis Ppk Dan Pps - Contoh Soal Terbaru contoh pertanyaan tes wawancara ppk - Teknoid Soal Tes Tulis Ppk Dan Pps-1 PROBABILITY PROPORTIONAL TO SIZE (PPS) SAMPLING - ppt download Panduan Download 100 Soal Tes Tertulis PPS 2020 Pdf - YouTube Contoh soal.docx - Contoh soal 1 Sebuah perusahaan yang beroperasi … Berikut Ini Persyaratan Anggota PPS Solusi Soal Olimpiade Astronomi Tingkat Provinsi 2014 Kisi-kisi Soal UTS Kelas 4 Semester 2 Tema 6 dan 7 Kurikulum 2013 … Penerimaan Mahasiswa Baru - Program Pascasarjana Universitas Sam … PROBABILITY PROPORTIONAL TO SIZE (PPS) SAMPLING - ppt download Honor PPK dan PPS Pilkada 2020 Sulawesi Tenggara naik - ANTARA News Selamat datang di KPU Sintang BOCORAN SOAL TES CAT SELEKSI PPK PPS DAN KPPS - YouTube

Contoh Soal Flowchart Sistem Informasi Akuntansi

Flashget Kuyhaa